芯片资讯
你的位置:Belling(上海贝岭)半导体IC芯片全系列-亿配芯城 > 芯片资讯 > RF信号链应用中差分电路的4大优点你了解了没?
RF信号链应用中差分电路的4大优点你了解了没?
- 发布日期:2024-11-21 08:05 点击次数:150
利用差分电路可以达到比利用单端电路更高的信号幅度
在相同电源电压下,差分信号可提供两倍于单端信号的幅度,它还能提供更好的线性度和SNR性能。

图1. 差分输出振幅
2
差分电路对外部EMI和附近信号的串扰具有很好的抗扰性
这是因为接收的有用信号电压加倍,噪声对紧密耦合走线的影响在理论上是相同的,它们彼此抵消。
3
差分信号产生的EMI往往也较低
这是因为信号电平的变化(dV/dt或dI/dt)产生相反的磁场,再次相互抵消。
4
差分信号可抑制偶数阶谐波
以下展示了连续波(CW)通过一个增益模块的示例。
当使用一个单端放大器时, 亿配芯城 如图2所示,输出可表示为公式1和公式2。

图2. 单端放大器

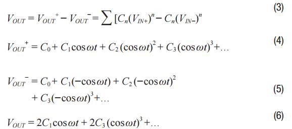
当使用一个差分放大器时,输入和输出如图3所示,表示为公式3、公式4、公式5和公式6。

图3. 差分放大器

理想情况下,输出没有任何偶数阶谐波,使得差分电路成为通信系统一个更好的选择。
相关资讯
- 电子工程师必备:Marvell(美满电子)产品线与料号解码,从型号到应用2025-09-11
- Cyclone系列FPGA:高性能可编程逻辑解决方案的技术解析与应用场景2025-08-25
- STM32F103VCT6主要资源及相关应用2024-12-02
- CC2541F256RHAR资料256K RF射频收发芯片2024-11-29
- 万物联网新应用,IC设计厂商绵密撒网2024-09-29
- 基于MAX2120卫星调谐器的应用2024-08-31
